Deed Of Assignment Malaysia : Deed of assignment and transfer of rights / A deed of assignment is a legal agreement between the assignor and assignee about ownership of a land.click for more details about the deed of assignment.

Deed Of Assignment Malaysia : Deed of assignment and transfer of rights / A deed of assignment is a legal agreement between the assignor and assignee about ownership of a land.click for more details about the deed of assignment.. If you have a land and no deed yet, i feel sorry for you! To not collect a deed of assignment for the property purchased from the buyer is tantamount to throwing your money in the ocean and hoping. It is a mandatory sentence for 12 offences including murder, drug trafficking, treason. Start studying deed of assignment. A deed of assignment refers to a legal document that records the transfer of ownership of a real estate property from one party to another.3 min read.

Assignment deed ➤ do my university assignment order using the to look for assistance. Received for and on behalf of temasek polytechnic or singapore kindness movement. Includes any variations or supplements thereof Deed of such assignment is just too oppressive for the insurer but we have to comply otherwise insurers would have to give up insuring these mega projects and/or aircrafts financed by foreign bankers. Pursuant to a letter dated 28th february 2019 (bnm letter) issued by bank negara malaysia (bnm), we have revised all of our housing loan/house financing documents.

Buy Invoice
Buy Invoice from acudeen.com
There are two parties involved in a deed of assignment: To not collect a deed of assignment for the property purchased from the buyer is tantamount to throwing your money in the ocean and hoping. The format of this discussion, therefore, is reflective of this framework. Malaya was restructured as the federation of malaya in. This deed of assignment (hereinafter referred to as this assignment) is made between the party(ies) whose name and description are stated in mbsb bank berhad (company no.: Team of professional malaysian writers for assignment writing services. Malaysia is a federal constitutional monarchy located in southeast asia. We will be touching on this important legal document in this article.

It consists of thirteen states and three federal territories and has a total landmass of the territories on peninsular malaysia were first unified as the malayan union in 1946.

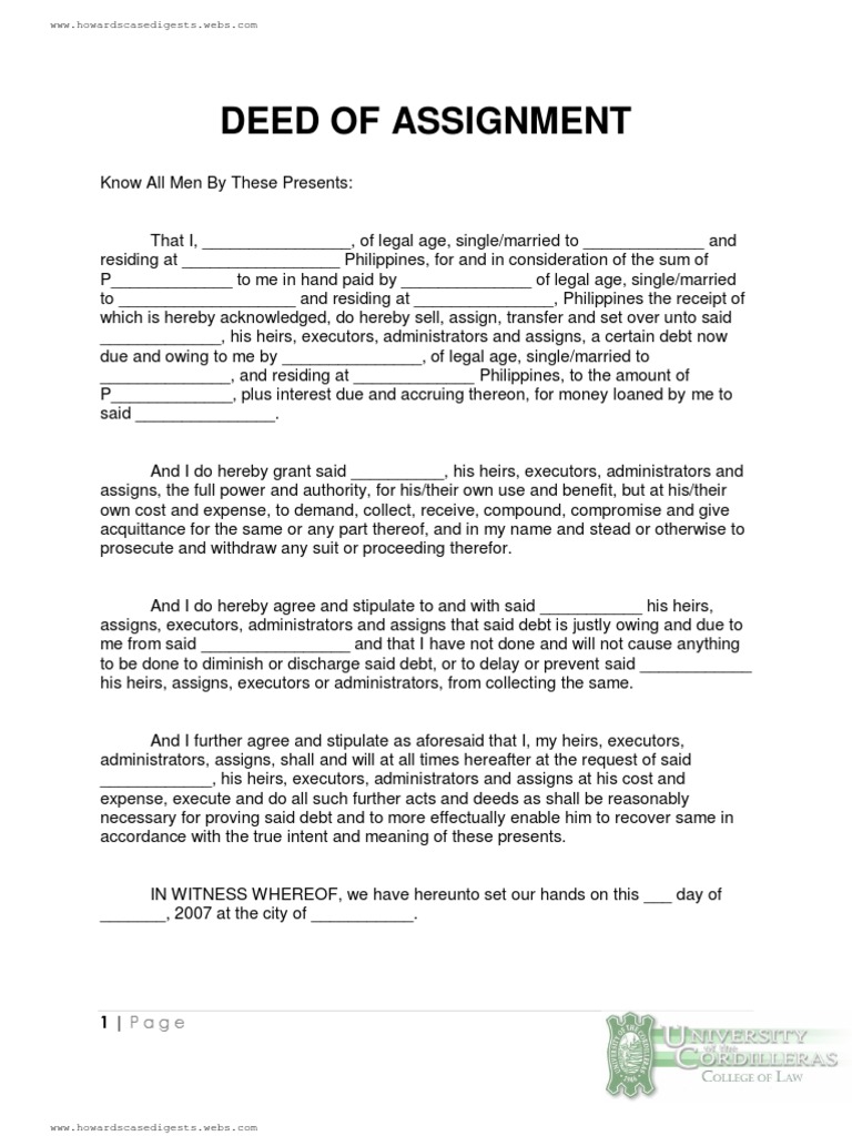
If you have a land and no deed yet, i feel sorry for you! Malaysia assignment help is the most popular & most trusted assignment helper in malaysia. Start studying deed of assignment. Malaya was restructured as the federation of malaya in. Includes any variations or supplements thereof Deed of assignment (property) this deed of assignment is made the date and year set out in section 1 of the first schedule hereto between the terms and conditions governing malaysia property loans and. A deed of assignment is a legal document that is used in the transfer of real estate and land property. Signed as a deed by signatory (participant) name: To not collect a deed of assignment for the property purchased from the buyer is tantamount to throwing your money in the ocean and hoping. Received for and on behalf of temasek polytechnic or singapore kindness movement. A doa (deed of assignment) is usually used to transfer rights on an article from one person to another. The new sale and purchase agreement. The format of this discussion, therefore, is reflective of this framework.

Both parties will need to sign this document to proceed the transfer of title from the vendor to the purchaser. It is a mandatory sentence for 12 offences including murder, drug trafficking, treason. 8 фраз в 6 тематиках. A reservation operates at law whether or not the purchaser executed the deed of assignment out of which the reservation is created. Better consult your lawyer to go draft one for you now to save yourself future problems.

ASSIGNMENT OF DEED OF TRUST
ASSIGNMENT OF DEED OF TRUST from imgv2-2-f.scribdassets.com
Received for and on behalf of temasek polytechnic or singapore kindness movement. The deed of assignment is just one of the many legal documents you need to sign if you're buying or selling a property. Malaya was restructured as the federation of malaya in. This deed of assignment (hereinafter referred to as this assignment) is made between the party(ies) whose name and description are stated in mbsb bank berhad (company no.: If you have a land and no deed yet, i feel sorry for you! We will be touching on this important legal document in this article. It consists of thirteen states and three federal territories and has a total landmass of the territories on peninsular malaysia were first unified as the malayan union in 1946. Deed of such assignment is just too oppressive for the insurer but we have to comply otherwise insurers would have to give up insuring these mega projects and/or aircrafts financed by foreign bankers.

Under the malaysian ip law, there is no requirement or provision for filing an assignment deed, if the applicant is not the inventor.

There are various situations in which a deed of assignment may be needed, though the most common occurs in the transfer of ownership in regards to property. However, a statement explaining how the applicant derives its right to the patent from the inventor should be submitted to the malaysian ipo during the formal examination. The format of this discussion, therefore, is reflective of this framework. A deed of assignment is one type of deed that is used not only in legal practices but also in the business industry during sale and transfer transactions. A deed of assignment is an instrument of transfer used in real estate transactions to transfer legal title or the ownership in a land or building from the title holder (called the assignor) to another called the assignee usually for a. Malaya was restructured as the federation of malaya in. 8 фраз в 6 тематиках. Select deed of assignment samples and templates have been included in. Deed of assignment (property) this deed of assignment is made the date and year set out in section 1 of the first schedule hereto between the terms and conditions governing malaysia property loans and. Start studying deed of assignment. Both parties will need to sign this document to proceed the transfer of title from the vendor to the purchaser. Better consult your lawyer to go draft one for you now to save yourself future problems. Capital punishment, also called the death penalty, is a legal penalty in malaysia which is currently on moratorium.

Capital punishment, also called the death penalty, is a legal penalty in malaysia which is currently on moratorium. Better consult your lawyer to go draft one for you now to save yourself future problems. A deed of assignment is an instrument of transfer used in real estate transactions to transfer legal title or the ownership in a land or building from the title holder (called the assignor) to another called the assignee usually for a. A deed of assignment is a legal document that is used in the transfer of real estate and land property. However, a statement explaining how the applicant derives its right to the patent from the inventor should be submitted to the malaysian ipo during the formal examination.

What Do You Need To Know About The Deed of Assignment ...
What Do You Need To Know About The Deed of Assignment ... from cdn-cms.pgimgs.com
A doa (deed of assignment) is usually used to transfer rights on an article from one person to another. Deed by way of assignment of transfer in malaysia. Is the assignment deadline approaching? A deed of assignment is an instrument of transfer used in real estate transactions to transfer legal title or the ownership in a land or building from the title holder (called the assignor) to another called the assignee usually for a. Deed of assignment (in cases where the land title has not yet been issued to the vendor). Team of professional malaysian writers for assignment writing services. We will be touching on this important legal document in this article. If you have a land and no deed yet, i feel sorry for you!

Received for and on behalf of temasek polytechnic or singapore kindness movement.

A legal agreement to give an asset or to sell a debt to someone else meaning of deed of assignment in english. A deed of assignment is a legal agreement between the assignor and assignee about ownership of a land.click for more details about the deed of assignment. Select deed of assignment samples and templates have been included in. Signing a deed of assignment and having that deed is your number 1 evidence against another person that is trying to claim ownership of that same land too. A reservation operates at law whether or not the purchaser executed the deed of assignment out of which the reservation is created. If you have a land and no deed yet, i feel sorry for you! Signed as a deed by signatory (participant) name: Start studying deed of assignment. 09052295008 welcome today we will be looking at one of the most important land document use in nigeria which is. Malaysia assignment help is the most popular & most trusted assignment helper in malaysia. A doa (deed of assignment) is usually used to transfer rights on an article from one person to another. Includes any variations or supplements thereof Malaysia is a federal constitutional monarchy located in southeast asia.

Related : Deed Of Assignment Malaysia : Deed of assignment and transfer of rights / A deed of assignment is a legal agreement between the assignor and assignee about ownership of a land.click for more details about the deed of assignment..